As Peaceful Protests Grow Over Hagerstown ICE Warehouse, Washington County Commissioners Move to Approve $95,000 in Riot Gear
Instead of addressing residents’ concerns, county officials are moving to fund riot shields, helmets, and batons.
Commissioners are now moving to spend nearly $95,000 on riot and civil disturbance gear for the Sheriff’s Department.
Let that sink in.
As community outrage over the ICE warehouse continues to grow, county leaders are not moving to address residents’ concerns.
They are moving to outfit deputies for “civil disturbance incidents.”
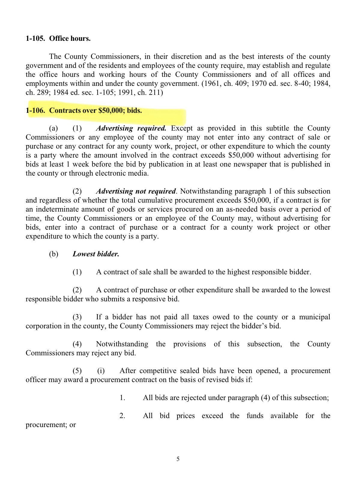
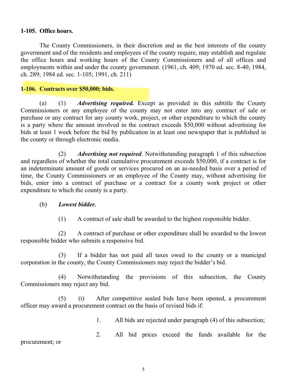
According to documents on the March 31 Board of County Commissioners agenda, the county is set to vote on a resolution authorizing 29 full sets of protective gear for deputies assigned to the Civil Disturbance Unit.
The total cost: $94,592.99.
And the county’s own paperwork makes the purpose unmistakable.
The agenda report states:
“This personal protective equipment will be purchased to assist in outfitting our Deputies that are assigned to the Civil Disturbance Unit.”
It goes even further, stating the equipment is designed to protect deputies from “thrown projectiles” during civil disturbance incidents.
This is riot gear.
And this no-bid contract vote is on the commissioners.
What they are buying
The attached Safeware quotes spell out exactly what taxpayers are being asked to fund:
29 riot shields
multiple long and interlocking crowd-control shields
29 police helmets
29 expandable batons
30 metatarsal guards
fire-resistant coveralls
specialized tactical footwear and protective gear
This is not normal departmental spending.
This is equipment built for confrontation.
The timing is impossible to ignore
For weeks, residents, doctors, and community organizers have been sounding the alarm over the proposed ICE detention center near Hagerstown and Williamsport.
People have shown up week after week at commissioner meetings.
Protests have continued.
Public pressure is growing.
And now, in the middle of that escalating opposition, county commissioners are preparing to authorize riot gear for deputies assigned to respond to “civil disturbances.”
The optics could not be clearer.
Instead of responding to the community’s concerns, they appear to be preparing for the community.
This is on the Board of County Commissioners
The county cannot hide behind the Sheriff’s Office on this one.
The resolution explicitly states that the Board of County Commissioners is authorizing the purchase.
That means every commissioner who votes yes owns this decision.
Every yes vote is a vote to spend public money on crowd-control gear at the exact moment the public is rising up against the ICE warehouse.
Residents deserve answers.
Why now?
Why nearly $95,000 in riot gear?
And what exactly are they expecting to happen in Washington County?
Because from where the public is standing, this looks less like leadership and more like preparation for dissent.












Hmmmm. Could this have ANYTHING to do with that concentration camp warehouse DHS purchased in Williamsport this January? No, I see nothing related. Nothing at all…….(sarcasm)
Seems like a reasonable response (sarcasm)